Kuva 4. Matriksin ristikkovakion ajallinen riippuvuus, joka on hankittu in situ XRD -mittauksista 700 ◦ C. Havaitsimme monotonisen laskun ristikon parametrissa, mikä osoittaa, että raskaat tekijät kuten Nb ja Mo vähitellen diffuusio kiinteää-liuoksen matriisi ja myötävaikuttaa δ vaiheen nukleoitumiseen ja kasvuun. Tässä numerossa ilmoitettu epävarmuus ja jäljempänä esitetään yksi vakioilmoitus, ellei toisin mainita.
Lisäksi kiinteän aineen matriisiristikon parametrissa tapahtunut muutos-Liuosseos on yhteydessä saostumisen määrään [40]. AM IN625: ssä matriisiristikon parametrien ero ennen ja jälkeen kymmenen h: n lämpökäsittelyn 870: lla ◦ C oli ≈ 0.0042» [21]. Vertailussa kentän parametri on muuttunut ≈ 0.0015 Å 10.5 h kohdassa tarkoitetun lämpökäsittelyn jälkeen 700 ◦ C, mikä viittaa huomattavasti vähemmän saostumiseen δ vaiheessa tässä temperamentissaUre.
IN625, sellaisena kuin se on suunniteltu, on yksi-faasiseos vehnäe lujuus on pääasiassa peräisin kiinteästä ratkaisusta, joka vahvistuu Mo, Nb ja Cr [1]. Herae Koska Mo:n ja Nb:n poistumisen matriisista odotetaan vähentävän tehoa, saostumien muodostuminen voi kompensoida tämän vähenemisen ja lisätä IN625: n yleistä vahvuutta. Esimerkiksi muokattu IN625 saavuttaa suurimman kovuuden 170 h: n jälkeen lämpökäsittelyn 700: lla. ◦ C, mikä onPääasiassa sen vuoksi, että γ̵ vaihe on prekursori δ faasi [41]. Vastaavasti δδ vaihe lisää myös kokonaisvahvuutta ja vähentää duktivoitusta [37]. AM IN625: n osalta vaaditaan ja tarvitaan järjestelmällistä arviointia siitä, miten lämpökäsittely vaikuttaa mekaanisiin ominaisuuksiin eri lämpötilojen välillä.Mitä?
Lämpökäsittelyn aikana myös δ faasin yksikkösolu muuttuu. Kuva 5 kuvaa tätä muutosta. Kolmen ortorhombisen ristikkoparametrin (kuva 5a c) joukossa kaksi on lähes vakio ≈ 5.108 a ja ≈ 4.232 Å Kolmas poikkileikkauksen parametri osoittaa monotonisen kasvun seuraavista: ≈ 4.482 vaille ≈ 4.488 Å On tiedossa, että pitkä akseli δ vaihe on linjassa lähellä-FCC-matriisin ja FCC-matriisin ja 948C-matriisin väliset kristallografiset linjat sekä vaihe, joka seuraa {111}FCC:tä//(100)948ja FCC//[100]948; 10]. Tämän perusteella päättelemme, että diffuusio Nb ja Mo on myös suunnattu. Koska Mo diffuusio matriisista pisteeseen δ vaihe tapahtuu hitaammin kuin Nb [42], tämä diffuusio voi johtaa muutokseen pisteessä δ vaiheiden kemiassa ja yksikkösolujen määrän kasvuun, kuten kuvassa 5d esitetään.
Kuva viisi. a c) Kolmen ristikkoparametrin ajallinen riippuvuus δ vaiheissaostumasta, jotka on hankittu 700:lla tehdyissä in situ XRD -mittauksissa ◦ C (d) ┐faasin yksikkösolun tilavuus saostuuMitä?
In situ SAXS-tiedot, jotka on hankittu saman näytevolyymin kanssa isotermisen lämpökäsittelyn aikana, tarjoavat myös mahdollisuuden tutkia materiaalin S-mikrorakenteen tilastollisesti merkitsevää transformaatiokinetiikkaa. Kuva 6 osoittaa täydellisen tietokokonaisuuden, jossa USAXS-tiedot ovat pääpiirteet ja SAXS-tiedot, jotka on esitetty alaosassa. Johdonmukaisuuden vuoksi hajaantumistiedot ovat väriä-koodattu käyttäen samaa väritasoa kuin XRD:n tiedot kuvassa 3. Hajoamista koskevilla tiedoilla on kolme havaittavaa ominaisuutta. Ensinnäkin, hyvin alhainen-q osa hajaantumista koskevista tiedoista (ks. ≈ 1%21510 − 4 Å − 1:stä ≈ 4%21510 − 4 Å − 1), me havaitsimme voiman-Lakien kulmakerroin, joka ei muutu ajan funktiona. Me pidämme tätä ominaisuutta jyvinä hajaantuminen, joka on samanlainen kuin aiempi työ Ni-perustuslaiset superseokset [21,43] ja alumiini seokset [44,45]. Viljan kasvu IN625:ssä on minimaalista alle 900 -lämpötilassa. ◦ C [46]. Näin ollen viljan sirpaleen odotetaan olevan vakaa, joka on yhdenmukainen kokeellisten havaintojen kanssa. Toiseksi havaitsimme, että hajaantumisen voimakkuus kasvoi yksitoikkoisesti. ≈ 4%21510 − 4 Å − 1 ja ≈ 0.01 Å − 1.erityisesti kahden Guinierin alueen kanssa lähellä 2× 10 − 3 Å − 1 ja 8 × 10 − 3 Å − 1.vastaavasti. Koska in situ XRD- tiedot ja ex situ SEM- kuvat osoittavat vain δ vaiheiden saostumisen, luokittelemme tämän hajaannustimen δ vaiheeksi. Aikaisemmat mikroskooppiset tutkimukset ovat osoittaneet, että δ vaiheissaostukset ovat verihiutaleita, joilla on kaksi ominaiskokoa [10,21,47], joka on samaa mieltä kahden Guinier in alueen havainnosta hajaannustiedossa. Lopuksi, SAXS-tiedot, jotka on esitetty liitossa, ovat suurten q-tehojen yksinkertaisia laajennuksia.-USAXS-tietojen oikeudellinen vertailu; Toisin sanoen SAXS-tiedot eivät sisällä lisätietoja, mikä osoittaa, että e i ole lisätietoja-tämän lämpökäsittelyn aikana muodostui suuria saostumia.
Kuva 6. AM IN625:n in situ SAXS-tiedot, jotka on hankittu isotermisen lämpökäsittelyn aikana 700:ssa ◦ C, jos kyseessä on 10.5 h. Päähavainto ja sen alkuosa osoittavat vastaavasti USAXS- ja SAXS-tiedot. Hankinta aika on väri-Koodattu aikanuolen jälkeen. USAXS-intensiteetti on katkaistu-mustamaalattuMitä?
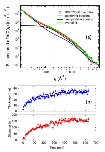
Rakensimme hajaannusmallin kuvaamaan sirpaletietoja näiden havaintojen perusteella, kuten kuvassa 7a on kuvattu. Esimerkkinä käytetään 630-min kohdassa hankittuja USAXS-tietoja in situ-kokeessa, ja tämä malli koostuu kahdesta komponentista. Ensimmäinen komponentti on hajaantumista koskeva lähtöviiva, joka saadaan samalla näytetilavuudella huoneenlämmössä ennen lämpökäsittelyä. Toinen komponentti edustaa liiallista hajaantumista, joka on peräisin δ vaiheista. Kuten aiemmin todettu [21], me kuvailimme tämän liiallisen hajaantumisen käyttäen analyysimenetelmää, joka on samankaltainen kuin yhtenäinen pienkulman sirpalointimenetelmä, jossa on kaksi hajaantumistasoa [48]. Yhdessä nämä kaksi-Komponenttimalli kuvaa in situ SAXS -tietoja hyvin läpi koko tietosarjan.Mitä?
Kuva 7. a) esimerkki SAXS-mallista, jota tässä työssä on käytetty. Tiedot on hankittu 630:n minimiin lämpökäsittelyn aikana 700: lla. ◦ C. Sumuiseen hajauttamiseen kuuluu kaksi osaa: 1) hajaantumisen lähtöviiva ja 2) liiallisen hajaantumisen taso δ b) Aika-δδ faasin saostumassa olevan keskimääräisen halkaisijan (merkittävä mitat) ja paksuuden (vähäinen ulottuvuus) muuttuminenMitä?

Työnimike: Product manager
osasto: Market Department
Yrityspuhelin: +86 021-59150215
Sähköposti: Ota meihin yhteyttä
Kännykkä: +86 13817160919
Verkkosivusto: lanzhusuperalloy.finvipb2b.com
Osoite: No. 2800 Caoxin Road, Xuhang Town, Jiading District, Shanghai